
Idaho Dairy Farmers On a scorching July day, cattle farmers Jesus Hurtado and Dirk Rietsma welcomed international visitors to their soon-to-open dairy processing plant, Suntado, in Idaho’s Magic V...Read More

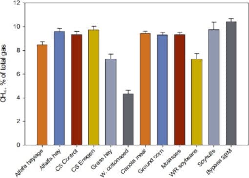
Methane - Green House Gas Methane, primarily from enteric fermentation and manure management, is the most significant greenhouse gas produced by ruminant livestock. Reducing methane emissions from...Read More

Dairy companies are shifting their focus in China from babies to adults, as a falling birth rate and intense competition force them to search for new areas of growth in what has long been one of the w...Read More

Delton and Bridgett Good, who own and operate Meadowview Jerseys, both hail from conventional dairy backgrounds. After they tied the knot in 2019, they decided to venture into the family business in a...Read More

A team of food scientists at West Pomeranian University of Technology, in Poland, has found that using horse (mare) milk instead of cow milk to make ice cream is a viable food choice. In their study,...Read More

According to latest estimates, global milk production across the key producing regions is expected to remain stable with a small decline of 0.1% year-on-year. This is slightly lower than the 0.1% incr...Read More

World's most expensive livestock diseases What is the world’s most expensive dairy disease? And what countries are hit hardest by these costs? Dr. Philip Rasmussen, researcher from the University of...Read More

Global Dairy Trade Event 361 concluded with the GDT Price Index up 0.5% Key Results of major commodities Global dairy trade index has shown slight recovery . Lactose, and Mozzarella cheese led the upw...Read More

Up at the crack of dawn, these calves have given inmates at a regional Victorian prison something to care for and strive toward. The men have been braving the frost, feeding the calve...Read More

Belarus' Agriculture and Food Ministry has once again raised the lowest minimum prices for specific types of goods sold under foreign trade agreements, with the ministry officially publishing the corr...Read More

Research Study highlights In this study of adolescents who had cow's milk allergy (CMA) and atopic eczema in infancy, we observed their dairy consumption and vitamin D status. We compared these adoles...Read More

Over the last two decades, the number of dairy herds in the U.S. has fallen significantly, but milk production has increased. It is a move analysts say has several explanations. https://www.rfdtv.com...Read More